City Multi YXM-.Serie

Die neue City Multi VRF R32 YXM-Serie

Innovation eröffnet neue Möglichkeiten

City Multi VRF R32 YXM-Serie

Mit der neuen City Multi YXM-Generation präsentieren wir Ihnen innovative VRF-Systeme, die neue Standards für Effizienz, Sicherheit und Bedienkomfort setzen. Erleben Sie technische Meilensteine, die echte Mehrwerte bieten – für Betreiber, Installateure und Endkunden.

Entdecken Sie ein System, das möglich macht.

Projekt geplant?

Wir sind startklar für Sie!

Jetzt Kontakt aufnehmen

Was kann VRF-Technologie heute möglich machen?

Video
Was kann VRF-Technologie heute möglich machen?

Sehen Sie im Video, welche Stärken die neue Gerätegeneration in Ihr Projekt einbringt.

City Multi YXM-Serie mit Kältemittel R32

Maximale Leistung auf minimaler Fläche

Leistungsbandbreite

Die City Multi Außengeräte sind robust verarbeitet, benötigen weniger Stellfläche und lassen sich flexibel in verschiedenen Umgebungen installieren – von engen Innenhöfen bis hin zu anspruchsvollen architektonischen Fassadenkonzepten. Sie bedienen eine Leistungsbandbreite von 22,4 bis 112 kW.

Key Visial neue YXM Außengeräte
VRF YXM Leistungsbandbreite

Die Innen- und Außengeräte im Detail

Systemaufbau
YXM Außengeräte auf dem Dach

auf kürzestem Weg zu allen Geräten

Hier finden Sie alle neuen Geräte der YXM-Serie mit weiteren Informationen und technischen Daten.

Abbildung Produkt PMFY-MS20–40VCM-E

PMFY-MS20 – 40VCM-E

Selbst in der niedrigsten Einbaudecke ist noch genügend Platz für die 1-Wege-Deckenkassetten der Serie PMFY-MS. Die Deckenkassetten verfügen über...
Abbildung Produkt PLFY-MS15 – 50VFM2-E

PLFY-MS15 – 50VFM2-E

Die Deckenkassetten der Serie PLFY-MS sind eine smarte Klimatisierungslösung für Zwischendecken im Euro-Rastermaß. Hohe Ansprüche an individuellen...
Abbildung Produkt PLFY-MS20 – 125VEM2-E

PLFY-MS20 – 125VEM2-E

Die großen quadratischen Deckenkassetten ermöglicht über ihre vier Luftauslässe auch bei niedrigen Decken und großen Räumen eine leistungsstarke,...
Abbildung Produkt PKFY-MS10 – 32VLM2-E

PKFY-MS10 – 100VLM2-E

Die leistungsstarken und zuverlässigen Wandgeräte PKFY-MS-VLM2-E und PKFY-MS-VKM2-E sind einfach zu montieren und zu warten. Sie verfügen über...
Abbildung Produkt PCFY-MS40–125VKM2-E

PCFY-MS40 - 125VKM2-E

Die Deckenunterbaugeräte fügen sich aufgrund des flachen und eleganten Designs in jedes Interieur unauffällig ein. Sie verfügen über einen...

PKFY-MS-VLM2-VKM2-E

Die neuen PUMY Geräte erweitern das VRF-Programm mit dem Kältemittel R32 im unteren Leistungsbereich. Einsatzbereiche sind unter anderem ...
Abbildung Produkt PEFY-MS200 – 250VMHS-A

PEFY-MS200 – 250VMHS-A

Müssen lange Luftkanäle ausgeführt werden, kommen die Kanaleinbaugeräte Typ PEFY-VMHS-A perfekt zum Einsatz. Die Kanaleinbaugeräte verfügen über...
Abbildung Produkt PEFY-MS20 – 140VMA-A1

PEFY-MS20 – 140VMA-A1

Die Kanaleinbaugeräte PEFY-MS spielen vor allem in engen Zwischendecken ihre Stärken aus. Sie verfügen über einen integrierten Kältemittelsensor....
Abbildung Produkt PEFY-MS15 – 63VMS-A

PEFY-MS15 – 63VMS-A

Die Kanaleinbaugeräte PEFY-MS spielen vor allem in engen Zwischendecken ihre Stärken aus. Sie verfügen über einen integrierten Kältemittelsensor....
Abbildung Produkte PURY-M550 – 1000YSXM-A

PURY-M550 – 1000YSXM-A

Die YXM-Serie erreicht beste saisonale Effizienzwerte und erfüllt alle gesetzlichen Anforderungen an energieeffiziente Gebäudetechnik. Dank des...
Abbildung Produkt PURY-EM550 – 1000YSXM-A

PURY-EM550 – 1000YSXM-A

Die City Multi YXM-Serie erfüllt alle gesetzlichen Anforderungen und setzt dabei mit ihren hohen Effizienzwerten Maßstäbe auf dem VRF-Markt. Dank...
Abbildung Produkt PURY-M200 – 500YXM-A

PURY-M200 – 500YXM-A

Die YXM-Serie erreicht beste saisonale Effizienzwerte und erfüllt alle gesetzlichen Anforderungen an energieeffiziente Gebäudetechnik. Dank des...
Abbildung Produkt PUHY-M200 – 500YXM-A

PUHY-M200 – 500YXM-A

Die YXM-Serie erreicht beste saisonale Effizienzwerte und erfüllt alle gesetzlichen Anforderungen an energieeffiziente Gebäudetechnik. Dank des...
Abbildung Produkt CMB-M104-108V-MB-SV

CMB-M104-108V-MB-SV

Die BC-Controller der VRF R2-Serie für das Kältemittel R32 bieten im Zusammenspiel mit perfekt abgestimmten Systemkomponenten ein vollständig...
Abbildung Produkt PUHY-EM200 – 500YXM-A

PUHY-EM200 – 500YXM-A

Die City Multi YXM-Serie erfüllt alle gesetzlichen Anforderungen und setzt dabei mit ihren hohen Effizienzwerten Maßstäbe auf dem VRF-Markt. Dank...
Abbildung Produkt PUHY-M550 – 1000YSXM-A

PUHY-M550 – 1000YSXM-A

Die YXM-Serie erreicht beste saisonale Effizienzwerte und erfüllt alle gesetzlichen Anforderungen an energieeffiziente Gebäudetechnik. Dank des...
Abbildung Produkt PURY-EM200 – 500YXM-A

PURY-EM200 – 500YXM-A

Die City Multi YXM-Serie erfüllt alle gesetzlichen Anforderungen und setzt dabei mit ihren hohen Effizienzwerten Maßstäbe auf dem VRF-Markt. Dank...
Abbildung Produkt CMB-M104-1012V-MA-SV

CMB-M104-1012V-MA-SV

Die BC-Controller der VRF R2-Serie für das Kältemittel R32 bieten im Zusammenspiel mit perfekt abgestimmten Systemkomponenten ein vollständig...
Abbildung Produkt PUHY-EM550 – 1000YSXM-A

PUHY-EM550 – 1000YSXM-A

Die City Multi YXM-Serie erfüllt alle gesetzlichen Anforderungen und setzt dabei mit ihren hohen Effizienzwerten Maßstäbe auf dem VRF-Markt. Dank...

Kann ich marktführende Effizienz und gleichzeitig schalltechnische Verbesserung erreichen?

Mehr Effizienz, weniger Schall

Ja, das ist möglich.

Beste Effizienz dank innovativem Vertical Flat Tube Wärmetauscher

Der neue, patentierte Vertical Flat Tube (VFT) Wärmetauscher setzt einen klaren Benchmark für Energieeffizienz und Leistungsstärke. Seine innovative Aluminium-Flachrohrkonstruktion mit Doppelrohrstruktur im Verteiler gewährleistet eine besonders gleichmäßige Verteilung des Kältemittels. So entsteht eine deutlich vergrößerte Wärmeübertragungsfläche – und damit spürbar weniger Energieverbrauch im Kühl- wie auch im Heizbetrieb.

Abbildung Vertical Flat Heat Exchanger

Dank segmentierter Wärmetauscherbereiche arbeitet das System stets bedarfsgerecht und erschließt zusätzliche Effizienzreserven. Für einen hygienisch optimierten Betrieb sorgen glatte Lamellen, die Schmutzablagerungen minimieren, sowie integrierte Drainageschlitze für schnellen Wasserablauf und effizientere Abtauprozesse.

Eine robuste Antikorrosionsbeschichtung schützt den Wärmetauscher zuverlässig – selbst unter anspruchsvollen Einsatzbedingungen – und gewährleistet eine lange Lebensdauer.

Abbildung Effizienzsteigerung YXM

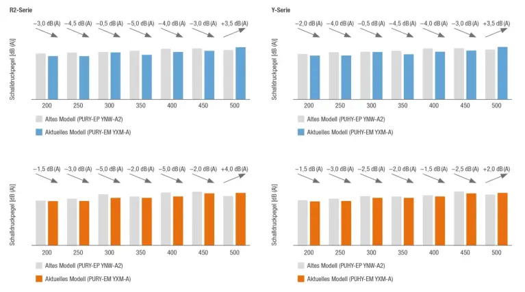
Schalloptimierung auf neuem Niveau

Das Lüfterdesign der YXM‑Serie wurde komplett überarbeitet. Neue Flügelblätter reduzieren Strömungsstörungen. Sie verbessern den Lufttransport und senken das Betriebsgeräusch.

Der Low‑Noise-Modus bietet vier Stufen: 85 %, 70 %, 60 % und 50 % der Nenndrehzahl. So lässt sich der Geräuschpegel flexibel anpassen. Das ist ideal für Wohngebiete und andere lärmsensible Bereiche.

Abbildung Optimierter Lüfter

Über DIP‑Schalter sind zusätzliche Feineinstellungen möglich. Die optimierte Ventilatortechnik harmonisiert den Luftstrom weiter. Dadurch sinken die Betriebsgeräusche spürbar – und die Effizienz steigt.

Abbildung Optimierter Schalldruckpegel

Kann ich mit dem Kältemittel R32 im System der EN378 entsprechen?

EN378-konform

Ja, das ist möglich.

Intelligentes Risikomanagement für maximale Betriebssicherheit

Das Sicherheitsmanagement der YXM‑Serie schützt den Betrieb in jeder Situation. Es überwacht den Einsatz des Kältemittels kontinuierlich.

Kommt es zu einer seltenen Kältemittelleckage, reagiert das System sofort. Absperrventile isolieren den betroffenen Bereich. Alle anderen Innengeräte laufen weiter. So bleibt die Klimatisierung stabil und sicher.

Y-Serie

Die Y-Serie nutzt ein modulares Sicherheitskonzept: JedesInnengerät ist mit einem Kältemittelsensor ausgestattet,Alarme können lokal oder zentral ausgegeben werden, undoptional lässt sich jeder Leitungszweig mit Absperrventilenversehen. Damit lässt sich das Risikomanagement flexibel anjedes Projekt anpassen.

Integriertes Risikomanagement (R2-System)

Die Steuerung erfolgt über verschiedene Fernbedienungen – auf Wunsch auch in einer dunklen Variante. Alle Modelle unterstützen das integrierte Sicherheitsmanagement.

Die YXM‑Serie erfüllt IEC 60335‑2‑40 und EN378. Damit entspricht sie den wichtigsten Normen für den sicheren Einsatz von A2L‑Kältemitteln.

Integriertes Risikomanagement (Y-System)

R2-Serie

Die R2-Serie bietet ein vollständig integriertes Sicherheitskonzept, das über die Funktionen der Y-Serie hinausgeht. Die Absperrventile sind direkt in den BC-Controllern verbaut und trennen im Alarmfall betroffene Bereiche automatisch ab.

Dadurch wird die Ausbreitung von Kältemittel effektiv verhindert und der Betrieb der verbleibenden Geräte kann sicher fortgesetzt werden. Die Kombination aus Sensorik, Alarmweiterleitung und automatischer Trennung erhöht die Betriebssicherheit erheblich
und stellt sicher, dass das Klimasystem kontinuierlich und zuverlässig arbeitet – selbst im Störfall.

Systemüberprüfung auf Knopfdruck

Circuit Inspection

Für Komfort und Sicherheit sorgt die integrierte Circuit Inspection Funktion, mit der sich alle sicherheitsrelevanten Komponenten des Systems zentral oder lokal per Knopfdruck überprüfen lassen. Diese Funktion ermöglicht eine schnelle Diagnose.

VRF YXM Außengeräte

Kann mein Sysrem auch bei sehr niedrigen Außentemperaturen eine sehr hohe Heizleistung erreichen?

Hohe Heizleistung

Ja, das ist möglich.

Kompakt geplant, kraftvoll im Einsatz.

Auch bei extrem niedrigen Temperaturen bleibt die YXM-Serie leistungsstark: Selbst bei -10 °C liefert das System bis zu 88 % der maximalen Heizleistung.

Dies ermöglicht kompaktere Außengeräte ohne dabei Einbußen bei der Leistung hinnehmen zu müssen. Ergänzt wird dies durch flexible Systemdesigns mit langen Leitungsmöglichkeiten und einer robusten Gesamtarchitektur für den Dauereinsatz.

Weitere Leitungslängen

Im Vergleich zur vorherigen Generation mit 90 m Leitungshöhe sind nun 113 m umsetzbar. Bei der Gesamtleitungslänge sind nun 1000 m umsetzbar. Der garantierte Einsatzbereich der Systeme im Heizmodus wurde ebenfalls auf −25 °C bis 15,5 °C erweitert.

Kann mein System im Fall einer Kältemittel-Leckage in Betrieb bleiben?

integrierte Absperrventile

Ja, das ist möglich.

Im unwahrscheinlichen Fall einer Leckage isolieren Absperrventile den betroffenen Zweig, während die restliche Anlage weiterhin zuverlässig arbeitet. Betriebssicherheit, auf die Sie sich verlassen können.

Absperrventil

Kann ich neben der Kabelfernbedienung mit integriertem Alarm auch weitere Fernbedienungen verwenden?

Fernbedienungen

Ja, das ist möglich.

Wählen Sie aus verschiedenen Fernbedienungen die passende Lösung für Ihr Projekt. Auch eine dunkle Ausführung ist verfügbar, alle Varianten gewährleisten das Sicherheitsmanagement der Anlage.

PAR-42MAAB

Noch mehr gute Seiten

Broschüre

Lesen Sie mehr über die neue City Multi VRF YXM-Serie

Verschaffen Sie sich auf kompakten 12 Seiten einen detaillierten Überblick über alle Merkmale und Stärken der neuen Geräteserie.

City Multi VRf YXM-Serie Broschüre

Broschürentitel City Multi VRF YXM-Serie

Jetzt informieren und Möglichkeiten entdecken

Kontakt